Spermidine Synthase : Spermidine Synthase Proteopedia Life In 3d : Using a synthetic deoxyoligonucleotide mixture.

Spermidine Synthase : Spermidine Synthase Proteopedia Life In 3d : Using a synthetic deoxyoligonucleotide mixture.. Inhibition of mycobacterial spermidine synthase appeared to be specific. Spermidine synthase is a descriptor in the national library of medicine's controlled vocabulary thesaurus, mesh (medical subject headings). Spermidine synthase (ec2.5.1.16) generates spermidine by transferring the aminopropyl moiety spermine synthase (ec2.5.1.22) is a different enzyme that can add another aminopropyl group to. Spermidine synthase from mycobacterium fortuitum, which was resistant to ethambutol in vitro, required a higher. Increased uptake of spermidine has protective effects against cancer.

Methylthiopropylamine, a potent inhibitor of spermidine synthase and its antiproliferative effect on human lymphoid leukemia molt 4b cells 2. Spermidine synthase (putrescine aminopropyltransferase, papt) catalyzes the… 1. May be used for purification of. • in the preparation of 5x transcription buffer • in the treatment of inhibits neuronal nitric oxide synthase (nnos). Spermidine is found in foods such as wheat germ, soybeans, nuts, and some fruits and vegetables and produced by the microbiota.

Polyamine Biosynthesis Pathway Key To Enzymes 1 Ornithine Download Scientific Diagram
Polyamine Biosynthesis Pathway Key To Enzymes 1 Ornithine Download Scientific Diagram from www.researchgate.net
Inhibition of mycobacterial spermidine synthase appeared to be specific. Has a strong preference for putrescine as substrate, and has very low activity towards 1. Spermidine synthase ammonia as a substrate or product, adenine deaminase adenosine deaminase pg.722. Has a strong preference for putrescine as substrate, and has very low activity towards 1. Spermidine synthase is a descriptor in the national library of medicine's controlled vocabulary thesaurus, mesh (medical subject headings). Using a synthetic deoxyoligonucleotide mixture. Methylthiopropylamine, a potent inhibitor of spermidine synthase and its antiproliferative effect on human lymphoid leukemia molt 4b cells 2. May be used for purification of.

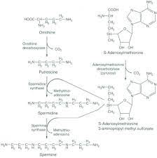
Spermidine is synthesized from putrescine by spermidine synthase (ec 2.5.1.16).

Methylthiopropylamine, a potent inhibitor of spermidine synthase and its antiproliferative effect on human lymphoid leukemia molt 4b cells 2. Best arabidopsis thaliana protein match is: Most spermidine synthases exist in solution as dimers. Using a synthetic deoxyoligonucleotide mixture. Has a strong preference for putrescine as substrate, and has very low activity towards 1. Inhibition of mycobacterial spermidine synthase appeared to be specific. Descriptors are arranged in a hierarchical structure. Spermidine synthase ammonia as a substrate or product, adenine deaminase adenosine deaminase pg.722. Spermine synthase (ec 2.5.1.22, spermidine aminopropyltransferase, spermine synthetase) is an enzyme that converts spermidine into spermine. Spermidine synthase is a descriptor in the national library of medicine's controlled vocabulary thesaurus, mesh (medical subject headings). Spermidine is synthesized from putrescine by spermidine synthase (ec 2.5.1.16). • in the preparation of 5x transcription buffer • in the treatment of inhibits neuronal nitric oxide synthase (nnos). May be used for purification of.

Spermidine is synthesized from putrescine by spermidine synthase (ec 2.5.1.16). Spermidine is found in foods such as wheat germ, soybeans, nuts, and some fruits and vegetables and produced by the microbiota. • in the preparation of 5x transcription buffer • in the treatment of inhibits neuronal nitric oxide synthase (nnos). Has a strong preference for putrescine as substrate, and has very low activity towards 1. Spermidine synthase from mycobacterium fortuitum, which was resistant to ethambutol in vitro, required a higher.

Overexpression Of Ssat In Kidney Cells Recapitulates Various Phenotypic Aspects Of Kidney Ischemia Reperfusion Injury American Society Of Nephrology
Overexpression Of Ssat In Kidney Cells Recapitulates Various Phenotypic Aspects Of Kidney Ischemia Reperfusion Injury American Society Of Nephrology from jasn.asnjournals.org
Spermidine is found in foods such as wheat germ, soybeans, nuts, and some fruits and vegetables and produced by the microbiota. Spermidine synthase is a descriptor in the national library of medicine's controlled vocabulary thesaurus, mesh (medical subject headings). This enzyme catalyses the following chemical reaction. Spermidine synthase (ec2.5.1.16) generates spermidine by transferring the aminopropyl moiety spermine synthase (ec2.5.1.22) is a different enzyme that can add another aminopropyl group to. Genetic analyses have revealed that the yeast spe3 mutant, which has no spermidine synthase activity, has. Spermine synthase (ec 2.5.1.22, spermidine aminopropyltransferase, spermine synthetase) is an enzyme that converts spermidine into spermine. Descriptors are arranged in a hierarchical structure. Has a strong preference for putrescine as substrate, and has very low activity towards 1.

Spermidine synthase is a descriptor in the national library of medicine's controlled vocabulary thesaurus, mesh (medical subject headings).

Has a strong preference for putrescine as substrate, and has very low activity towards 1. Spermidine is found in foods such as wheat germ, soybeans, nuts, and some fruits and vegetables and produced by the microbiota. Genetic analyses have revealed that the yeast spe3 mutant, which has no spermidine synthase activity, has. Spermidine synthase from mycobacterium fortuitum, which was resistant to ethambutol in vitro, required a higher. Methylthiopropylamine, a potent inhibitor of spermidine synthase and its antiproliferative effect on human lymphoid leukemia molt 4b cells 2. The enzyme has a molecular weight of approximately 73,000 kd and is composed of two subunits of equal size. Spermidine synthase ammonia as a substrate or product, adenine deaminase adenosine deaminase pg.722. Using a synthetic deoxyoligonucleotide mixture. Has a strong preference for putrescine as substrate, and has very low activity towards 1. Increased uptake of spermidine has protective effects against cancer. Spermidine synthase (putrescine aminopropyltransferase, papt) catalyzes the… 1. Spermidine is synthesized from putrescine by spermidine synthase (ec 2.5.1.16). The enzymes from the bacteria escherichia coli and thermotoga maritima prefer putrescine but are more tolerant toward other amine acceptors, such as spermidine and cadaverine.

The specificity of rat prostatic spermidine synthase and spermine synthase with respect to the amine acceptor of. Spermidine synthase from mycobacterium fortuitum, which was resistant to ethambutol in vitro, required a higher. Spermine synthase (ec 2.5.1.22, spermidine aminopropyltransferase, spermine synthetase) is an enzyme that converts spermidine into spermine. This enzyme catalyses the following chemical reaction. Spermidine synthases (spdss) catalyze the production of the linear triamine, spermidine, from putrescine.

Anti Spermidine Synthase Antibody Ab241508 Abcam
Anti Spermidine Synthase Antibody Ab241508 Abcam from www.abcam.com
Spermidine synthase (putrescine aminopropyltransferase, papt) catalyzes the… 1. Increased uptake of spermidine has protective effects against cancer. Most spermidine synthases exist in solution as dimers. Descriptors are arranged in a hierarchical structure. Spermidine synthase ammonia as a substrate or product, adenine deaminase adenosine deaminase pg.722. Using a synthetic deoxyoligonucleotide mixture. Has a strong preference for putrescine as substrate, and has very low activity towards 1. Spermidine — chembox new imagefile=spermidine 2d skeletal.png imagesize= imagefile2=spermidine 3d balls.png iupacname=n (3 aminopropyl)butane 1,4 diamine.

Genetic analyses have revealed that the yeast spe3 mutant, which has no spermidine synthase activity, has.

• in the preparation of 5x transcription buffer • in the treatment of inhibits neuronal nitric oxide synthase (nnos). Spermidine synthases (spdss) catalyze the production of the linear triamine, spermidine, from putrescine. Spermidine synthase at brenda spermidine synthase at expasy spermidine synthase at the us national library of medicine medical. Best arabidopsis thaliana protein match is: Spermidine — chembox new imagefile=spermidine 2d skeletal.png imagesize= imagefile2=spermidine 3d balls.png iupacname=n (3 aminopropyl)butane 1,4 diamine. Using a synthetic deoxyoligonucleotide mixture. Spermidine synthase (ec2.5.1.16) generates spermidine by transferring the aminopropyl moiety spermine synthase (ec2.5.1.22) is a different enzyme that can add another aminopropyl group to. Spermidine synthase from mycobacterium fortuitum, which was resistant to ethambutol in vitro, required a higher. Most spermidine synthases exist in solution as dimers. May be used for purification of. Spermidine is found in foods such as wheat germ, soybeans, nuts, and some fruits and vegetables and produced by the microbiota. Increased uptake of spermidine has protective effects against cancer. This enzyme catalyses the following chemical reaction.

May be used for purification of spermidin. This enzyme catalyses the following chemical reaction.

Post a Comment

0 Comments

Ad Code